journal club

알츠하이머병 환자의 아밀로이드 플라크에 작용하는 Donanemab의 능력

Donanemab의 아밀로이드 베타 축적 감소 능력

2024.05.13 | 조회 1.12K |
0
|
Bi.markey의 프로필 이미지

Bi.markey

밝히자, 바이오 세상

💊 오늘 우리가 살펴볼 치료제는?

이번에 살펴볼 치료제는 Donanemab으로, 알츠하이머 환자에게서 나타나는 뇌 내 아밀로이드 베타 축적을 감소시켜 질병의 진행 속도를 늦추길 기대하는 약물이에요!

 

🧠 알츠하이머 병이란?

이상 단백질인 아밀로이드 베타 단백질, 타우 단백질이 뇌 내에 쌓이면서 뇌 신경세포가 서서히 죽어가는 퇴행성 신경 질환이에요! 알츠하이머병은 치매를 유발하는 가장 흔한 원인이죠!

알츠하이머
알츠하이머

앞으로 나올 Donanemab 은 아밀로이드 플라크에만 있는 아밀로이드 베타 단백질을 표적으로 하는 항체로서 뇌에 축적된 아밀로이드 플라크를 감소시켜주길 기대하고 있는 상황이에요.

 

⚡짚고 넘어가야할 키워드

아래 10가지 단어들은 앞으로 자주 등장할 거니까 미리 익혀두는 것이 좋아요!

Donanemab뇌 아밀로이드 플라크에 존재하는 아밀로이드 베타를 표적으로하는 항체
Pyroglutamate알츠하이머 병 관련 뇌조직의 특정 질병 현상을 유도할 수 있는 아미노산
Amyloid beta알츠하이머병의 주요 병인으로 알려진 단백질
Positron emission tomography (PET) 내 아밀로이드 플라크 부하 측정법. 방사성 표지자 (ex. Florbetapir)을 사용해 플라크의 양을 시각적으로 나타내는 기술.
Single ascending dose (SAD)소수의 건강한 자원자를 대상으로 점진적으로 용량을 높여가며 안전성과 내약성을 확인하는 1상 임상시험
Multiple ascending dose (MAD)단일 용량 투여 후 안전성과 약동학 확인한 뒤, 보다 높은 용량을 투여하여 최대 내약 용량을 결정하는 1b상 임상시험
Centiloid아밀로이드 베타 PET 영상을 정량화하기 위한 표준화된 척도
iADRS위약 대비 알츠하이머 평가 척도 (integrated Alzheimer's Disease Rating Scale)
Bayesian disease progression model질병 발병 및 진행 과정을 확률적으로 모델링하여 다양한 의료 분야에서 활용
ARIA-E아밀로이드와 관련한 영상학적 이상

지금부터는 임상 1a, 1b, 2상 연구 결과들을 통해 Donanemab이 용량과 투여 방식에 따라 뇌 내 아밀로이드 플라크에 어떻게 영향을 미쳤는지 알아보고, 그에 따른 부작용은 어떤 것들이 있었는지와 앞으로의 연구 방향을 알아보겠습니다~😊

 

 


🧵 임상 1a상

임상 1a상은 알츠하이머 병으로인한 치매 초기환자, 경증에서 중증도 알츠하이머병으로인한 치매 환자들을 대상으로 Donanemab 약물의 안전성과 내약성을 평가했어요! 이는 향후 임상 연구들을 위한 Donanemab의 적절한 용량 범위를 정의하기 위함이에요 !

 

✨ 연구는 아래와 같이 총 세가지 카테고리로 나누어 진행했어요 ✨

  1. Single ascending dose phase (단일 용량 상승 시험)

: 0.1, 0.3, 1, 3, 10mg/kg의 5개 투여군 有 -> 정맥 투여(IV)후 12주간 추적 관찰

2.   Multiple ascending dose phase (다중 용량 상승 시험)

: 최대 4회 정맥투여12주간 추적 관찰 진행

3.   Relative exposure assessment (상대적 노출 평가)

  • 알츠하이머 환자 cohort : 3mg/kg 피하 주사, 12주간 추적 관찰 진행
  • 건강한 대상자 cohort : 1mg/kg 피하 주하, 12주간 추적 관찰

 (두 cohort 모두 단일 용량 상승 시험만 진행)

 

 

🤔 연구 결과

Result 1. Single-ascending dose phase

  • 단일 투여 후 혈청 Donanemab 농도 변화

정맥 주사 투여 후 혈중 약물 농도는 빠르게 감소하며 지수 함수적인 패턴을 보였고, 일주일째부터 완만히 감소하는 양상을 보였어요.

0.1~3.0 mg/kg 의 낮은 투여량의 경우에는 약물의 혈중 농도가 100ng/ml 이하로 낮게 나타나, 농도 변화를 파악하기 어려움이 있어 아래 그래프에서 표시되지 않았어요!

 Donanemab 단일 투여 후 시간에 따른 혈중 약물 농도 변화
 Donanemab 단일 투여 후 시간에 따른 혈중 약물 농도 변화

10mg/kg을 투여한 경우를 제외하고는 혈중 약물 농도가 대체적으로 오래 유지되지 못한다는 것을 확인할 수 있어요.

 

  • 단일 투여 후 확인된 Donanemab의 반감기
각 투여량에 따라 혈중 약물 농도를 요약한 표
각 투여량에 따라 혈중 약물 농도를 요약한 표

(초록색 박스 : 단일 투여시 / 파란 박스 : 상대적 노출 평가 결과)

위 표를 통해 0.1~3.0mg/kg 단일 투여시, 평균 반감기가 약 4일이고, 10mg/kg 단일 투여시 평균 반감기가 약 10일인 것을 확인할 수 있어요!

이는 반감기가 투여량에 따라 달라지고, 10mg/kg 투여시 가장 길다는 점을 보여주고, 3.0mg/kg 이하로 투여했을 때에는 평균 반감기가 4일로 나타나 예상보다 짧게 유지된다는 것을 나타내요!

 

Result 2. Multiple-ascending dose phase

  • 단일, 다중 투여 후 Donanemab의 혈중 농도 비교

약물 투여 후 시간에 따라 혈청 내 donanemab 농도를 비교하였을 때, 다중 투여 후 donanemab의 농도가 단일 투여시보다 낮게 나타났고, 3mg/kg 이하 용량에서는 투여 후 대부분 검출한계 미만의 농도를 보였어요! 하지만 10mg/kg 용량에서만큼은 투여 후 지속적으로 검출할 수 있는, 정량화 가능한 농도가 유지되었다는 것을 확인할 수 있었어요!

단일 투여시와 다중 투여시 혈청 donanemab 농도 비교
단일 투여시와 다중 투여시 혈청 donanemab 농도 비교

 

  • 다중 투여 첫 투여와 마지막 투여 후 Donanemab의 혈중 농도 비교

아래의 그림에서는 다중 투여를 진행할 때에, 첫 투여로부터 3일이 지난 후 약물의 혈청 농도와 마지막 투여로부터 4일 후 약물의 혈청 농도를 비교한 것이에요!

10mg/kg를 의미하는 빨간색 점을 제외하고는, 낮은 용량을 반복 투여할 때 donanemab의 혈청 농도가 감소한다는 것을 확인할 수 있어요! 빨간 점의 위치만 계속 같다는 점을 통해, 10mg/kg 를 반복 투여했을 때 donanemab이 지속적으로 혈청 내에 유지된다는 것을 알 수 있죠!

 

Donanemab 첫 투여 3일 후와 마지막 투여 4일 후 혈청 농도 비교
Donanemab 첫 투여 3일 후와 마지막 투여 4일 후 혈청 농도 비교

 

 

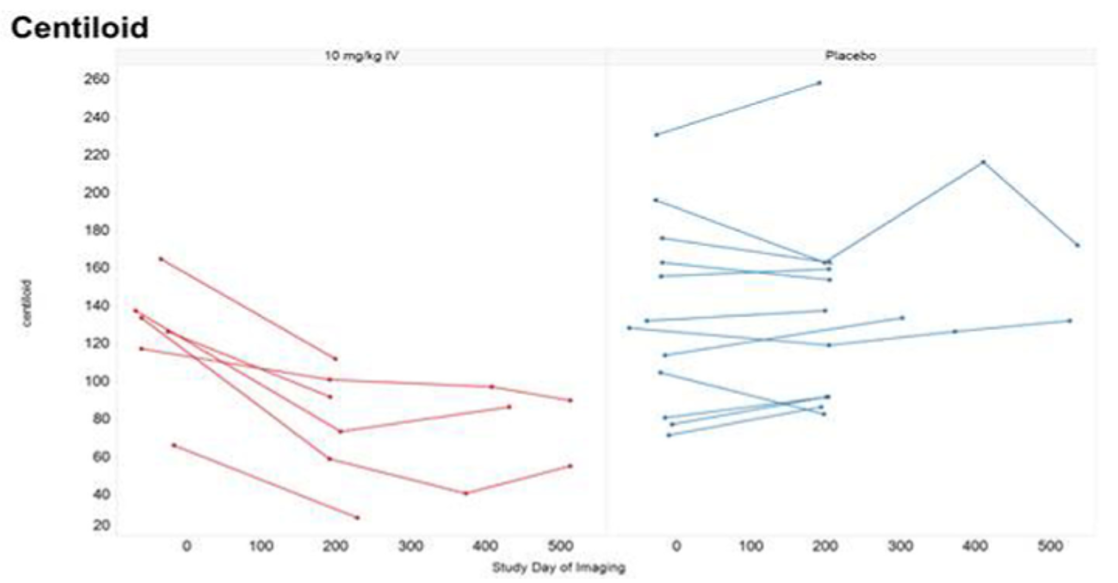
Result 3. Florbetapir PET의 Centiloid scale 측정

❓ Centiloid란?

아밀로이드 베타 PET 영상의 정량화를 위한 표준화된 척도로, Centiloid 값이 높을수록 뇌 내 아밀로이드의 축적이 많다는 것을 의미해요! 아래 사진에서 왼쪽에 위치한 정상인의 뇌와 알츠하이머병을 가질 가능성이 높은 뇌를 비교할 때, 오른쪽으로 갈수록 나타나는 Centiloid값이 높아지는 것을 확인할 수 있어요.
첨부 이미지

 

  • Donanemab 투여량에 따른 centiloid 수치 변화

맨 오른쪽에 위치한 10mg/kg를 나타내는 연두색 박스를 제외하고 모든 3.0mg/kg 이하의 낮은 약물 투여량에 대해서는 centiloid 변화가 0 주위에 위치하는 것을 보아 유의미한 아밀로이드 감소가 나타나지 않는다는 것을 알 수 있어요!

이에 반해 10mg/kg 투여시에는 centiloid 변화가 평균 -44.4로 나타나, 뇌 아밀로이드가 약 40~50% 감소되었다는 것을 볼 수 있어요! 😉

이를 통해 10mg/kg 투여시 효과적으로 뇌내 아밀로이드 축적을 감소시킬 수 있다는 것이 확인되었어요!

약물 투여량에 따른 centiloid 변화
약물 투여량에 따른 centiloid 변화

 

위약군과 비교했을 때에도 10mg/kg 투여가 통계적으로 유의한 뇌 아밀로이드 감소를 보여준다는 것을 알 수 있어요! 

donanemab 10mg/kg 투여와 Placebo(위약군) centiloid 비교
donanemab 10mg/kg 투여와 Placebo(위약군) centiloid 비교

 

😶‍🌫️ 결론

  • Donanemab은 최대 10mg/kg 까지 투여했을 때 안전성 문제가 거의 발견되지 않았어요
  • 약물의 반감기 (half-life)는 투여량에 따라 달라지며, 10mg/kg 투여시 가장 길었어요
  • 10mg/kg 투여시에만 PET 결과의 변화가 나타났어요 (아밀로이드 축적 40~50% 감소)

➡️ Donanemab 10mg/kg 정맥 주사시 반감기가 예상보다 짧다는 점에서 약물 소실이 높을 수 있다는 것이 확인되었고, 그럼에도 Donanemab이 알츠하이머 환자의 뇌에서 아밀로이드 베타를 효과적으로 감소시킬 수 있음이 확인되었어요!

 

 


🪡 임상 1b상

임상 1b상은 다양한 방식의 Donanemab 투여 치료 방법이 면역원성과 잠재적인 면역 관련 안전 문제를 완화시킬 수 있는지, 약물 투여 후 지속적인 amyloid 감소를 유발할 수 있는지 확인하고자 진행되었어요!

 

Amyloid plaque 갖는 61명의 알츠하이머에 의한 경도 인지장애 또는 경도~중증도 치매 환자를 대상으로, Donanemab 을 단회/다회로 투여하는 집단과 placebo 약물을 투여하는 집단으로 나누어 Amyloid plaque 감소 효과와 약물 투여로 인한 부작용을 확인하였답니다!

 

  1. Single dose (N=18)

: 10, 20, 40mg/kg 용량별 일회성 투여 진행

2.   Multiple dose (다중 투여, N=28)

- 24주2주마다 10mg/kg 투여 (10mg/kg Q2W)

- 72주 4주마다 10mg/kg 투여 (10mg/kg Q4W)

- 72주4주마다 20mg/kg 투여 (20mg/kg Q4W)

3.   Placebo (donanemab 투여 x, N=15)

 

🤔 연구 결과

Result 1. Donanemab 단일/다중 투여시 대뇌 아밀로이드 양 변화

아래 figure에서는 Donanemab을 단일 투여시 용량에 따라, 다중 투여시 용량과 빈도에 따라 Centiloid를 통해 아밀로이드 감소를 보여주고 있어요!

Placebo의 경우에는 확실히 72주간 유의한 아밀로이드 감소를 보여주지 않고 있지만, 나머지 모든 단일/다중 donanemab 투여의 경우에는 용량 의존적으로 centiloid 변화가 나타났어요!

이를 통해 Donanemab의 아밀로이드 플라크 감소 능력이 다시 한 번 입증되었고, 그 능력이 투여량에 의존적으로 발휘된다는 것을 알 수 있어요!

Florbetapir PET를 통해 확인한 Centiloid scale
Florbetapir PET를 통해 확인한 Centiloid scale

 

 

Result 2. Donanemab 단일/다중 투여시 Cmax와 AUC

📍Cmax : 최대 관찰 농도로, 약물 체내 투여 후 농도가 가장 높은 시점

📍AUC : 시간에 따른 농도와의 면적으로, 높을수록 체내 약물이 오랫동안 높은 농도로 유지했음을 의미

단회 투여시 최소 56일간 측정 가능한 donanemab 농도가 관찰되었고, 다중 투여시 약물이 체내 충분한 시간동안 축적되었고, 이로인해 높은 노출이 관찰되었어요!

따라서 단회/다중 투여에서 donanemab에대한 Cmax와 AUC는 모두 용량 비례적으로 증가했다고 말할 수 있어요!

 

Result 3. APOE-ε4 상태와 TE-ADAs 농도와 Donanemab 약동학

📍APOE-ε4 : 알츠하이머병이라는 신경퇴행성 질환 발병 위험을 증가시키는 유전자의 한 변이

📍TE-ADAs : 처음 사용자가 사용한 약물에 대한 항체

APOE-ε4 유전자 변이의 유무와 TE-ADAs 수치에 따라 Donanemab의 Centiloid 감소 능력이 달라지는지 확인한 시험에서는, APOE-ε4 유전자 변이의 유무에 따라 뇌 내 아밀로이드 농도 변화가 유의한 차이를 보이지 않아 둘 사이 명확한 연관성이 나타나지 않았어요!  또한 1:5120 이상의 높은 ADA titer 수치에도 donanemab 투여시 뇌 내 아밀로이드 감소가 나타났어요!

따라서 APOE-ε4 유전자 변이의 유무와 TE-ADAs 농도는 donanemab의 능력에 직접적인 영향을 미치지 않는다는 것을 알 수 있었어요! 

 

APOE-ε4 상태와 TE-ADAs 농도의 Donanemab 효과에 대한 영향
APOE-ε4 상태와 TE-ADAs 농도의 Donanemab 효과에 대한 영향

 

 

Result 4. TE-ADA와 Nab의 Donanemab 약동학에 대한 영향

항약물 항체와 중화항체의 Donanemab 약동학에 대한 영향
항약물 항체와 중화항체의 Donanemab 약동학에 대한 영향

61명의 실험 대상자 중 플라시보 집단 15명을 제외한 46명 중 45명에게서 donanemab에 대한 항약물항체가 형성되었어요! 또한 TE-ADA 양성 반응을 보이는 45명 모두에게서 donanemab에 대한 중화항체 Nab도 양성으로 나타났어요!

약물에대한 항약물항체와 중화항체는 일반적으로 약물의 능력을 감소시키지만, 이번 donanemab 연구에서는 모든 약물 용량 집단에서 항체 수준의 변화는 유사했고, TE-ADA+, Nab+ 샘플의 최저 농도가 TE-ADA-와 유사하게 나타났다는 점에서, 전반적으로 donanemab에 대한 항체들이 약물의 약동학에 뚜렷한 영향을 주지 않는다는 것을 확인할 수 있었어요!

 

 

Result 5. 뇌 부피 변화와 Donanemab의 관련성

전체 뇌, 해마 또는 측두뇌실 부피에대한 Donanemab의 영향
전체 뇌, 해마 또는 측두뇌실 부피에대한 Donanemab의 영향

donanemab 약물 투여를 받은 실험 대상자에게서 72주 뒤 전체 뇌 부피와 해마 부피의 감소, 측두 뇌실 부피의 증가가 관찰되었지만, 이는 donanemab 투여량에따라 일관되게 증가하거나 감소하는 양상을 보이지 않았어요!

이를 통해 donanemab 약물 투여가 전체 뇌 부피나 해마부피, 측두뇌실 부피에 유의미한 변화를 유발하지 않고, 노인성 뇌 변화 등 다양한 요인이 함께 작용했을 것이라고 추측할 수 있어요!

 

Result 6. Donanemab의 부작용

📍TEAE : 치료 후 발생한 부작용

61명의 실험 참가자중 24명(39.3%)에서 1가지 이상의 연구 약물과 관련된 TEAE가 발견되었어요! 이 중 가장 대표적인 부작용은 12명에게서 나타난 뇌기능의 저하 및 손상(ARIA-E)인데, donanemab 약물 투여를 중단하자 모두 해결되었어요!

또한 donanemab 투여 치료를 받은 모든 용량 그룹에서 어떠한 인지 측정 항목에서도 기준선으로부터 유의한 변화가 관찰되지 않았다는 점에서 donanemab은 인지 기능에 영향을 주지 않는다고 할 수 있어요!

 

😶‍🌫️ 결론

  • Donanemab 단회/다회 투여시 용량 의존적으로 알츠하이머 환자의 뇌 내 Amyloid plaque를 빠르고 지속적으로 감소시켰어요
  • 높은 TE-ADAs를 가질 때에도 Donanemab 약동학은 10~40mg/kg 범위에서 선형적으로 나타났어요
  • 거의 모든 Donanemab 약물을 투여받은 환자에서 항약물항체와 중화항체가 만들어졌으나, 항체는 Donanemab의 약동학에 유의미한 영향을 미치지 않았어요 (약물에 대한 항체 있어도 약물의 플라크제거 능력을 약화시키지 x)
  • Donanemab의 가장 흔한 부작용인 ARIA-E가 약물 투여 중단시 완전히 해소되었다는 점에서 관리할 수 있는 부작용이 나타남을 확인할 수 있었어요
  • Donanemab의 투여후 72주 뒤 보이는 전체 뇌와 해마 부피 감소, 뇌실 부피 증가에 용량에 따른 일관된 영향을 주지 않았고, 이는 표본이 작았다는 점이나 다른 요인에 의한 결과일 수 있어요
  • 용량 수준과 투여 요법에 따라 인지 기능에 영향을 주지 않았는데, 이는 표본의 크기가 작아서 또는 질병의 단계가 다양해서 일 수 있어요

 

 


🧶 임상 2상

임상 2상은 Donanemab 반복 투여를 통해 약물의 안전성과 효능을 평가하기 위해 고안되었습니다!

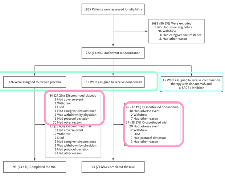
257명의 아밀로이드 플라크 축적 환자를 대상으로 131명에게는 Donanemab을 반복 투여하고, 126명에게 Placebo 약물을 투여하였습니다.

연구 그룹은 다음과 같이 나뉘는 것이죠!

  1. Donanemab 투여 (N=131) : 4주 간격으로 Donanemab 투여. 첫 3회 700mg, 이후 1400mg 투여
  2. Placebo 투여 (N=126)

 


🤔 연구 결과

Result 1. iADRS score 분석

📍iADRS

integrated Alzheimer's Disease Rating Scale로, 범위는 0부터 14까지. 낮은 점수일수록 더 큰 인지 능력의 감소를 나타냄. iADRS=(-1)*ADAS-Cog + ADCS-iADL ADAS-Cog : 0~85, 높을수록 큰 감소 ADCS-iADL : 0~59, 낮을수록 큰 손상
첨부 이미지

iADRS의 기준 수치는 106인데, 76주후 iADRS의 경우, donanemab 투여에서 -6.86, 플라시보는 -10.06으로 변화했어요!

이를 통해 donanemab 투여시 플라시보에 비해 더 적은 인지 능력의 감소가 일어났음을 알 수 있어요 😉

 

Result 2. 부작용 발생에 따른 연구 참여 포기자 분석

Placebo 집단의 경우 34명이 치료 연구 참여에 중도 포기했고, Donanemab 투여 집단의 경우, 49명이 중간에 포기했어요! 이는 부작용의 빈도와 관련이 있었어요!

분홍색 박스 왼 : placebo 집단 인원 중 중도 포기 사유 / 분홍색 박스 오 : donanemab 투여 집단 중 중도 포기 사유
분홍색 박스 왼 : placebo 집단 인원 중 중도 포기 사유 / 분홍색 박스 오 : donanemab 투여 집단 중 중도 포기 사유

두 그룹에서 죽음과 같은 중대한 부작용에는 차이가 없었지만, donanemab 투여 그룹에서 ARIA-E와같은 아밀로이드 관련 부작용이 훨씬 많이 발생했기에 중도 포기 인원이 훨씬 많은 것으로 추측할 수 있어요!

또한 약물 주입과 관련된 반응인 중추신경제 표재성 철 침착증, 메스꺼움 등은 donanemab 투여 그룹에서만 관찰되었다고 해요 😭

 

Result 3. Donanemab의 Tau 부하 관여 능력

Donanemab을 투여한 집단과 placebo 집단에서, 알츠하이머를 일으키는 이상 단백질 중 하나인 타우 단백질의 부하를 비교해보았어요!

donanemab이 이상 단백질인 아밀로이드 베타의 축적을 감소시키는데에는 매우 효과적인 것과 달리, 아래 초록색과 회색 그래프를 비교하여보면 타우 단백질의 부하에는 유의한 영향을 미치지 못한다는 것을 알 수 있어요!

 

타우 단백질 부하와 donanemab의 관련성
타우 단백질 부하와 donanemab의 관련성

 

Result 4. 뇌 부피에 관여하는 Donanemab

왼쪽 위부터 시계 방향으로 뇌 전체, 뇌실, 해마의 부피에 donanemab이 어떠한 영향을 미치는지 알아본 실험에서 donanemab 투여시 전체 뇌 부피는 감소하고 측두뇌실의 부피는 증가하는 것을 확인할 수 있어요! 하지만 해마의 부피는 변화가 매우 작아 donanemab이 미치는 영향이 적거나 없음을 알 수 있어요!   

 

뇌 전체, 측두뇌실, 해마 부피와 donanemab의 연관성
뇌 전체, 측두뇌실, 해마 부피와 donanemab의 연관성

 

 

😶‍🌫️ 결론

  • 목표한 만큼의 iADRS감소를 이루지 못했어요 (목표: -6, 수치: -3)
  • 부차적 결과는 두 그룹 간 의미 있는 변화 없었어요
  • 도나네맙에서 아밀로이드 플라크 수치가 더 감소했으나 임상과 연관이 있다는 증거가 없다고 말할 수 있어요
  • global tau load 에는 변화가 없었으나 frontal, temporal lobe region에는 타우 축적이 감소하였어요
  • 해마 부피 유의미한 변화 관찰 안되었지만, 전체 뇌 부피는 감소하고ventricular 부피는 증가하였어요
  • 도나네맙에서 1/4에서 ARIA-E발생했어요
  • 부작용으로 인한 시험 중단이 도나네맙에서 더 많이 나타났어요

 

초기 알츠하이머에서 도나네맙이 인지 기능 저하가 적었는데, 목표치는 달성하지 못했어요. 또한 amyloid-related imaging abnormalities가 발생할 수 있어, 더 장기간의 많은 표본의 추가적인 시험 연구가 필요해요

 

 

😉 현재 Donanemab

임상 3상 시험

최근 임상 3상 시험에서는 donanemab 투여시 Placebo 대비 인지력 저하를 35% 늦추었고, 극초기 환자의 경우 인지력 저하 속도가 60%까지 낮아졌어요!

일라이 릴리사에서는 임상 3상에서 1734명을 대상으로 시험한 결과, 약을 투약한 참가자의 37%가 뇌부종·뇌 미세 출혈 증상을 보였고, 중증으로 발병한 비율은 1.6%, 부작용으로 사망한 참가자는 3명으로 나타났어요!

이에 따라 FDA (미국 식품 의약국)는 일라이 릴리사의 Donanemab 승인 결정을 연기하였고, 안전성과 효능을 논의하는 외부 전문가들이 참여하는 자문위원회 회의를 소집할 예정이라고해요!

 

 


 

🖊️작성자: 하예지 (hyj9095@naver.com)

🌟밝히자, 바이오 세상🧬

❣️ 다음 글에서 만나요

 

👓 참고자료

 

 

 

 

 

다가올 뉴스레터가 궁금하신가요?

지금 구독해서 새로운 레터를 받아보세요

✉️

이번 뉴스레터 어떠셨나요?

Bi.markey 님에게 ☕️ 커피와 ✉️ 쪽지를 보내보세요!

댓글

의견을 남겨주세요

확인
의견이 있으신가요? 제일 먼저 댓글을 달아보세요 !
© 2025 Bi.markey

밝히자, 바이오 세상

메일리 로고

도움말 자주 묻는 질문 오류 및 기능 관련 제보

서비스 이용 문의admin@team.maily.so

메일리 사업자 정보

메일리 (대표자: 이한결) | 사업자번호: 717-47-00705 | 서울특별시 성동구 왕십리로10길 6, 11층 1109호

이용약관 | 개인정보처리방침 | 정기결제 이용약관 | 라이선스