철판 중량 계산 공식
철판의 정확한 중량을 산출하는 것은 설계 및 자재 준비 단계에서 반드시 필요한 과정입니다.
이를 통해 엔지니어는 필요한 철판의 양을 예측하고, 비용을 최적화하며 시공 계획을 체계적으로 수립할 수 있습니다.
또한, 중량 데이터는 운반 및 보관 과정의 효율화에 도움을 주며, 프로젝트 일정 관리와 안전성 확보에도 중요한 역할을 합니다.

⚙️ 철판 중량 계산 단계
① 단계: 철판의 두께, 폭, 길이를 확인합니다.
② 단계: 모든 치수를 미터(m) 단위로 환산합니다.
- 두께(mm) ÷ 1000 = 두께(m)
- 폭(mm) ÷ 1000 = 폭(m)
- 길이(mm) ÷ 1000 = 길이(m)
③ 단계: 다음 공식을 사용하여 중량을 계산합니다.
중량(kg) = 두께(m) × 폭(m) × 길이(m) × 7.85
※ 참고: 7.85는 철의 밀도로, 1 m³당 7.85톤(또는 7,850 kg/m³)에 해당합니다.
📘 예시 계산
길이 6 m, 폭 2 m, 두께 10 mm 철판의 중량은 다음과 같습니다.
중량(kg) = 6 × 2 × (10 ÷ 1000) × 7,850 = 942 kg
따라서, 두께 10 mm / 2 m × 6 m 철판의 중량은 약 942 kg입니다.
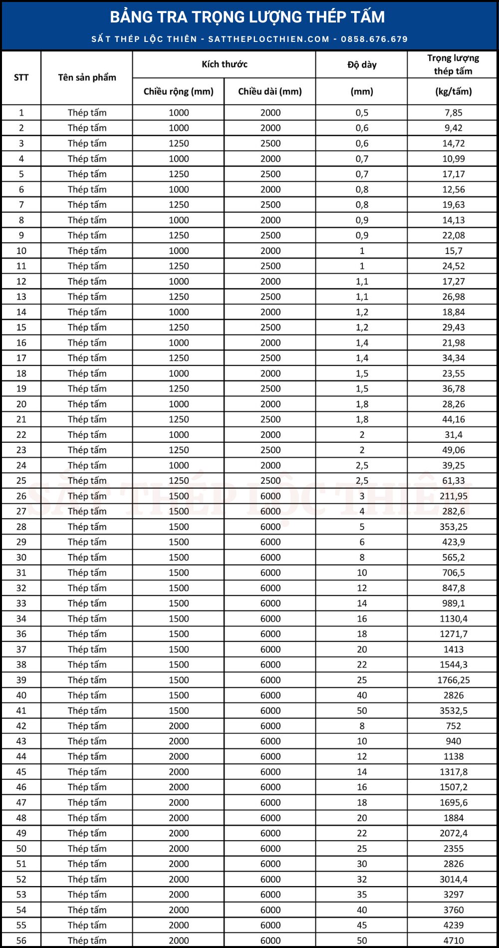
철판 중량 환산표 (kg 단위)
계산 과정을 보다 빠르고 정확하게 하기 위해, 아래는 두께와 표준 규격별로 환산된 철판 중량표입니다. 이 정보는 기업이 자재의 중량을 쉽게 파악하여 비용 계획 및 시공을 효율적으로 수행하는 데 도움을 줍니다.

본 글이 고객님께서 철판의 중량 계산 방법과 환산표를 빠르고 정확하게 확인하는 방법을 이해하는 데 도움이 되었기를 바랍니다.
철판의 규격, 두께, 치수 등에 대해 추가 상담이 필요하신 경우 언제든지 문의해 주시기 바랍니다.
편집자: Sắt Thép Lộc Thiên
의견을 남겨주세요