🧠 전기기사 입문

⚡️전기기사 초시생 필독! ‘회로이론’은 왜 가장 먼저 공부해야 할까?⚡️

전기 흐름부터 기출 유형까지, 회로이론 완전 정복 가이드!

2025.05.27 | 조회 1.69K |
0
|
볼티의 프로필 이미지

볼티

전기기사 합격! 매일 핵심 개념 3가지를 쏙쏙 복습하세요! ⚡️

첨부 이미지

안녕하세요, 볼티입니다. 예비 전기기사 여러분! 전기기사 자격증이라는 멋진 목표를 향해 나아가는 여러분을 진심으로 응원합니다. 전기기사 필기시험에는 여러 과목이 있지만, 그중에서도 ‘회로이론 및 제어공학’은 많은 친구들이 가장 어렵게 느끼는 과목 중 하나예요. 하지만 걱정 마세요! 이 뉴스레터가 여러분의 든든한 길잡이가 되어줄 거예요.

오늘은 특히, 왜 ‘회로이론’을 가장 먼저 공부해야 하는지부터 시작해서, 복잡해 보이는 개념들을 쉽고 친근하게 설명해 드릴게요. 그리고 시험에 자주 나오는 문제 유형과 계산기 활용법, 마지막으로 실수 없이 문제를 푸는 꿀팁까지 모두 알려드릴 테니, 끝까지 집중해 주세요!


1. ‘회로이론’, 왜 가장 먼저 공부해야 할까? 

회로이론은 전기공학의 가장 기본이 되는 과목이에요. 마치 건물을 지을 때 튼튼한 기초 공사가 가장 중요하듯이, 전기를 이해하려면 회로이론이라는 튼튼한 기초가 꼭 필요하답니다.

 

회로이론이 중요한 이유:

  • 다른 과목의 뿌리: 전기자기학, 전기기기, 전력공학 등 다른 모든 전기 과목을 이해하는 데 필수적인 기초 지식을 제공해요. 회로이론을 잘 해두면 다른 과목들이 훨씬 쉽게 느껴질 거예요. 특히 전기기기 과목을 효율적으로 공부하려면 회로이론을 먼저 공부하는 것이 좋아요.
  • 실기시험과의 연결: 필기시험뿐만 아니라, 나중에 보게 될 실기시험에서도 회로이론의 핵심 개념들이 계속해서 나온답니다. 그래서 회로이론을 확실히 이해하고 넘어가야 자격증 취득에 유리해요.

 

그런데 왜 어렵게 느껴질까요? 회로이론은 대부분 계산 문제로 출제되고, 수학적인 개념이 많이 사용되기 때문에 처음 접하는 분들에게는 어렵게 느껴질 수 있어요.

 

비전공자들을 위한 꿀팁!

보통은 회로이론을 가장 먼저 공부해서 기초를 다지는 것을 추천하지만, 다른 분들의 경우 ‘전력공학’을 먼저 공부하는 것이 도움이 될 수 있다고 조언하기도 해요. 왜냐하면 전력공학은 전선, 차단기, 변압기처럼 눈에 보이는 실제 설비를 다루기 때문에 비전공자도 비교적 쉽게 접근할 수 있고, 실기시험의 핵심이 되는 과목이거든요.

어떤 순서로 공부하든, 중요한 건 꾸준히 공부하고 반복해서 문제를 풀어보는 거예요!

 

마음가짐: "완벽"보다 "합격"을 목표로! 전기기사 시험은 과목당 40점 이상, 전체 평균 60점 이상을 받으면 합격이에요. 회로이론에서 모든 문제를 다 맞출 필요는 없어요. 20문제 중에 회로이론과 제어공학 각각 10문제씩 출제되기 때문에, 4문제씩만 맞춰도 과락을 면할 수 있고, 상대적으로 쉬운 제어공학을 더 많이 맞추는 것이 더 합리적인 전략이 될 수 있답니다.

 

너무 어려운 문제에 시간을 많이 쓰는 것보다는, 기본적인 개념을 이해하고 자주 나오는 유형을 반복해서 푸는 데 집중하는 것이 훨씬 효율적이에요. 때로는 너무 어려운 문제는 과감히 포기하거나, 답만 외우는 전략도 유효할 수 있어요.

단, 회로이론은 기본 중의 기본이기에 대충 넘어가서는 안돼요!

 


2. 회로이론 + 제어공학, 기본 개념 요약 (어려운 개념, 쉽게 풀어줄게!)

회로이론과 제어공학은 전기 시스템이 어떻게 작동하는지 이해하는 데 꼭 필요한 과목이에요. 복잡해 보이지만, 핵심 개념만 잘 잡으면 생각보다 어렵지 않답니다.

 

🔌 1. 회로이론 – 전기는 ‘물 흐름’처럼 생각하자

 

💡 전기 = 물!

전기를 처음 배울 땐 그냥 ‘물이 흐른다’고 생각하면 훨씬 쉬워져요.

  • 전류(A) = 물이 흐르는 양
  • 전압(V) = 물을 밀어주는 압력
  • 저항(Ω) = 물이 지나가는 관의 좁은 정도

 

✅ 옴의 법칙 (V = I × R)

  • 전압(V)은 전류(I)와 저항(R)을 곱한 값이에요.
  • 압력이 높거나, 관이 좁으면 물이 더 세게 흐르겠죠?

👉 예시

  • 전압이 10V, 저항이 2Ω이면 전류는? → 10 ÷ 2 = 5A

 

🔀 KCL & KVL – 흐름을 따라가면 답이 보여요!

  • KCL (전류 법칙) : “어느 한 지점에 들어온 전류 = 나가는 전류” → 마치 삼거리 수도관: 들어온 물과 나가는 물의 양은 같아요!
  • KVL (전압 법칙) : “회로를 한 바퀴 돌면, 전압 총합은 0” → 산 하나 빙 돌아서 출발점으로 오면, 높이 차이 없듯이!

 

⚡ 전력과 전력량, 뭐가 달라?

  • 전력(P) = 순간의 전기의 ‘힘’ → P = V × I → 전등이 켜졌을 때, 지금 이 순간 얼마나 밝게 켜지는지!
  • 전력량(W) = 일정 시간 동안 쓴 전기의 총량 → W = P × t→ 하루 종일 얼마나 썼는지!
    • 예) 100W 전등을 10시간 켜면 → 100 × 10 = 1000Wh

 

🌀 교류 회로의 포인트! 임피던스와 위상차

  • 임피던스(Z) = 교류에서 전류 흐름을 방해하는 정도 → 그냥 “복잡한 저항”이라고 기억하세요!→ 코일, 콘덴서 같은 부품들이 추가되면 생겨요.
  • 위상차(θ) = 전압과 전류의 ‘타이밍 차이’ → 코일이 있으면 전압이 먼저 나가고, 콘덴서가 있으면 전류가 먼저 나가요.

👉 시험에선 “코일은 전압이 앞선다 / 콘덴서는 전류가 앞선다”만 알아도 OK!

 

⏱️ 과도현상 – 스위치 ON/OFF 직후에만 생기는 변화

  • 전기 회로에 스위치를 켜거나 끄면, 전압/전류가 ‘퐁!’ 하고 튀어요.
  • 이 짧은 순간의 변화를 과도현상이라고 해요.
  • 시정수(τ) = 과도현상이 얼마나 오래 지속되는지 알려주는 숫자 → 예: 5초 안에 안정됨 = 시정수 5초
  • 라플라스 변환 = 이걸 수학적으로 쉽게 계산할 수 있게 도와주는 도구 → 수식은 복잡해도, 기본 원리는 “처음 몇 초 동안 변한다” 정도만 이해하면 충분해요!

 

📻 공진 – 특정 주파수에서 ‘완전 터지는’ 현상

  • 공진이란? 특정 주파수에서 코일과 콘덴서가 서로 딱 맞아떨어져서→ 전류가 갑자기 확! 많아지는 현상이에요.
  • 라디오는 공진을 이용해서 원하는 채널(주파수)을 골라 듣는 거예요.→ 그래서 회로에서도 공진을 활용하면 특정 주파수만 ‘강조’할 수 있어요.

 

📥 테브난 & 노턴 정리 – 복잡한 회로? 한 줄로 요약!

  • 시험에서 회로가 너무 복잡하다면?
  • 👉 테브난 정리: 전압원 + 저항
  • 👉 노턴 정리: 전류원 + 저항
  • → 둘 다 같은 회로를 더 간단하게 바꾸는 방법이에요.

🔁 이 두 정리는 서로 변환도 가능해요!


🤖 2. 제어공학 – “자동으로 움직이게 하려면?”

🛠️ 기본 구성, 이렇게 기억하세요!

  1. 입력: 내가 원하는 목표값 (예: 에어컨 24도 설정!)
  2. 제어기: 어떻게 조절할지 판단 (머리 역할)
  3. 제어 대상: 실제 움직이는 기계 (에어컨 본체)
  4. 출력: 실제 결과 (실내 온도)
  5. 피드백: 결과를 다시 비교해서 오차를 줄이기!

 

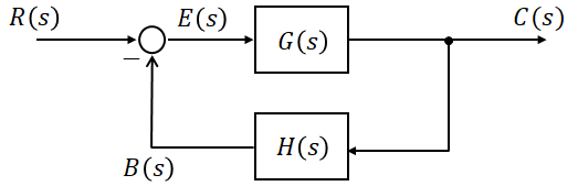
🧭 블록선도 – 흐름을 한눈에 보는 그림

  • 제어 시스템의 구성요소를네모(블록)와 화살표로 나타낸 그림이에요.
첨부 이미지
구성역할
블록입력→출력으로 변환해주는 부분
화살표신호가 흐르는 방향
가합점신호를 더하거나 뺄 때
인출점신호를 복사해서 나눠줄 때

시험에서는 위와 같은 그림을 보고

전달함수를 구하는 문제가 자주 나와요!

 

🧱 전달함수 – 입력과 출력의 비율

  • “입력 5를 넣었을 때 출력이 10이 나와요.”
    • 이때, 전달함수 = 출력 ÷ 입력 = 2
  • 이런 식으로 시스템이 얼마나 반응하는지를 수식으로 나타낸 거예요.

 

🧨 안정도? 이거 흔들리면 큰일나요

  • 시스템이 자꾸 흔들리면 어떻게 될까요? 로봇이 계속 팔을 흔들거나, 온도가 계속 오르락내리락 하면 안 되겠죠?
  • 그래서 제어 시스템의 안정도는 매우 중요해요.

시험에서 자주 나오는 안정도 판별법:

이름하는 일
루스 판별법수식으로 안정한지 확인
나이퀴스트복잡한 시스템일 때 그래프로 확인

✨ 마무리 요약 (진짜 핵심만 쏙쏙!)

항목쉽게 기억하는 한 줄 요약
전기물 흐름처럼 생각하면 이해 쉬움
옴의 법칙전압 = 전류 × 저항
KCL/KVL전류는 나가고 들어오는 게 같고, 전압은 한 바퀴 돌면 0
임피던스교류에서 저항이랑 비슷한 개념
과도현상스위치 켜고 끌 때 생기는 잠깐의 변화
제어 시스템입력 → 제어기 → 기계 → 출력 → 피드백
전달함수출력 ÷ 입력의 비율
블록선도전체 흐름을 그림으로 표현
안정도시스템이 흔들리지 않고 동작하는 능력

 

3. 기출에서 자주 나오는 유형 (합격을 위한 실전 연습!)

회로이론은 시험 문제의 거의 대부분이 계산 문제로 나와요. 공식만 외우는 문제도 50% 이상이고, 순수하게 계산해야 하는 문제도 30% 정도 된답니다. 그러니까 공식을 정확히 이해하고 계산하는 연습을 많이 해야 해요.

오늘은 그 중에서도 진짜 자주 나오는 핵심 유형 5가지를 완벽 정리해드릴게요.

 

1. Y-Δ(와이-델타) 결선 변환

삼상 회로에서 가장 자주 나오는 유형 중 하나!

💡 핵심 개념

삼상 회로에서 부하가 Y(별) 결선이냐 Δ(삼각형) 결선이냐에 따라 전류와 전압의 관계, 소비 전력이 달라져요.

✅ 암기 포인트:

  • Δ → Y로 바꾸면 저항값은 1/3배 작아짐
  • Y → Δ로 바꾸면 저항값은 3배 커짐

🧩 실전 예시

문제:

모든 저항이 같은 Y결선 회로를 Δ결선으로 바꿀 때, 소비 전력은 어떻게 될까요?

풀이:

Δ에서는 선간 전압이 그대로 걸리고, 저항이 3배 커져요. 하지만 전력은 P = V² / R 이기 때문에, 전압 조건이 같고 저항이 3배 커졌다면 전력은 1/3로 줄어들 것 같지만 Δ결선은 전류 흐름 방식이 다르고, 전력 계산 공식도 다르답니다.

👉 실제로는

  • Y결선 전력: P_Y = V_L² / R_Y
  • Δ결선 전력: P_Δ = 3 × V_L² / R_Δ

Δ로 바꾸면서 저항이 3배 커졌다면, 즉 R_Δ = 3 × R_Y 라면

  • P_Δ = 3 × V_L² / (3 × R_Y) = V_L² / R_Y

정답:

➡ Y결선을 Δ결선으로 바꿔도, 소비 전력은 동일함

 

2. RLC 직렬·병렬 회로 해석

저항(R), 코일(L), 콘덴서(C)가 섞여 있는 회로를 분석하는 문제

💡 핵심 개념

  • 직렬 연결: 임피던스(Z)를 그냥 더해요
  • 병렬 연결: 1/Z 방식으로 계산
  • 복소수 계산이 필수! 실수부 + 허수부로 나눠 계산해요
  • 위상차도 함께 나오는 경우가 많아요

🧩 실전 예시

문제:

직렬 RLC 회로에 R=10Ω, L=0.1H, C=100μF, 주파수 60Hz일 때 임피던스를 구하시오.

풀이:

  • XL = 2πfL = 2×3.14×60×0.1 = 37.7Ω
  • XC = 1 / (2πfC) ≈ 1 / (2×3.14×60×100×10⁻⁶) ≈ 26.5Ω
  • Z = √(R² + (XL - XC)²) = √(10² + (37.7-26.5)²) ≈ √(100 + 125.4) = √225.4 ≈ 15Ω

 

3. 테브난/노턴 등가 회로

복잡한 회로를 간단하게 바꿔서 문제를 쉽게 푸는 테크닉

💡 핵심 개념

  • 테브난 정리: 회로를 전압원 + 직렬저항 형태로 단순화
  • 노턴 정리: 회로를 전류원 + 병렬저항 형태로 단순화
  • 둘은 서로 바꿔 쓸 수 있음 (Vth = In × Rth)

🧩 실전 예시

문제:

복잡한 회로에서 특정 저항의 양단 전압을 구하라는 문제.

풀이:

  1. 해당 저항을 제거한 상태에서 회로의 전압(Vth) 계산
  2. 전체 회로의 등가 저항(Rth) 계산
  3. 다시 저항을 연결하고 V = IR로 전압 계산

결과:

➡ 복잡한 회로도 ‘한 줄 회로’로 바꿔서 쉽게 풀 수 있음!

 

4. 교류 전력 계산 문제

유효전력, 무효전력, 피상전력, 역률 계산은 기본 중의 기본!

💡 핵심 공식

  • 유효전력(P) = √3 × V × I × cosθ
  • 무효전력(Q) = √3 × V × I × sinθ
  • 피상전력(S) = √3 × V × I
  • 역률(cosθ) = P / S

🧩 실전 예시

문제:

3상 Y결선 회로에서 선간전압 220V, 선전류 10A, 역률 0.8일 때 유효전력은?

풀이:

P = √3 × V × I × cosθ

P = 1.732 × 220 × 10 × 0.8 ≈ 3,048W

 

5. 전류/전압 분배 법칙

회로 해석의 진짜 기본! 거의 모든 계산 문제의 출발점이에요

💡 핵심 개념

  • 직렬 회로: 전압이 저항에 비례해서 나뉨
  • 병렬 회로: 전류가 저항에 반비례해서 나뉨→ 저항이 크면 전압을 많이 먹고, 작으면 전류를 많이 가져감!

🧩 실전 예시 문제: 병렬 전류 분배

문제:

5Ω과 20Ω 저항이 병렬로 연결되고, 전체 전류가 10A일 때

5Ω 저항에는 몇 A가 흐를까요?

풀이:

병렬 회로에서 전류는 반대편 저항 기준으로 나뉘어요

  • I_5Ω = 10A × (20Ω / (5Ω + 20Ω)) = 10A × (20 / 25) = 8A

정답:

➡ 5Ω 저항에는 8A가 흐릅니다!

 

✨ 마무리 요약

유형핵심 개념외우기 팁
Y-Δ 변환삼상 회로 결선 변환Δ↔Y 바꿀 땐 저항 3배 / 1/3배
RLC 해석임피던스 계산, 위상차XL, XC 공식을 정확히!
테브난/노턴복잡한 회로 단순화등가 회로로 바꿔 푸는 기술
전력 계산유효, 무효, 피상, 역률√3 × V × I × cosθ 꼭 외우기
전류/전압 분배저항 비례·반비례 법칙병렬: 반대로 / 직렬: 그대로

회로이론은 복잡해 보여도

유형만 익히면 충분히 공략 가능한 과목이에요.

오늘 소개한 유형들만 확실히 잡아도

최소 50점 이상은 확보할 수 있어요!


4. 계산기 활용 꿀팁

회로이론은 수학 계산이 정말 많아요. 그래서 공학용 계산기를 능숙하게 사용하는 것이 필수 중의 필수랍니다. 계산기를 잘 다루면 복잡한 문제도 빠르고 정확하게 풀 수 있어서 시험 시간을 크게 절약할 수 있어요.

  • 직접 풀어보기: 문제를 풀 때 반드시 계산기로 직접 계산해 보면서 익숙해지세요.
  • 복소수/행렬 계산 연습: 회로이론에서 자주 사용되는 복소수 계산이나 행렬 계산 기능을 미리 익혀두면 좋아요.
  • 전기기사 시험 공식 추천 계산기
    • CASIO fx-570ES PLUS
    • CASIO fx-570EX (4줄 보기 편함)
    • UNI-T UC-800X (가성비 굿)

계산기 꿀기능 TOP 5

  1. 복소수 계산: 교류 문제에 딱!
  2. 소수↔분수 전환: 단위 실수 방지
  3. 단위 입력 (m, k 등): 5kΩ → 그냥 ‘5k’
  4. 메모리 저장: 복잡한 식은 A~Z에 저장
  5. Ans 활용: 직전 계산 결과 재활용

📌 추천 연습: 공식 암기보다 계산기랑 친해지기!

  • 3상 전력 계산 P = √3 × V × I × cosθ
  • 임피던스 계산 Z = R + jX
  • 위상각 계산 θ = tan⁻¹(X/R)
    • 이런 공식들을 실제 계산기로 입력해 보는 게 제일 빠릅니다.

5. 실수 줄이는 문제풀이 팁 (합격으로 가는 지름길!)

사실 많은 수험생들이 몰라서가 아니라 ‘실수’ 때문에 점수를 잃어요.

전기기사 필기시험에서 실수를 줄이는 꿀팁 5가지를 하나씩 쉽게 소개해드릴게요!

 

1️⃣ 효율적인 회독법

기출문제, 몇 년 치나 풀어야 할까?

7~10개년치 기출을 3회 이상 회독하는 걸 목표로 하세요!

✔ 회로이론은 응용·변형 문제가 많아서 최소 7개년치까지 보는 게 좋아요.

📌 팁:

“한 문제 7번 풀기보다, 7년치 문제를 1~2회라도 제대로 푸는 게 더 중요해요!”

 

2️⃣ 오답노트 작성법

그냥 틀린 문제 베끼는 건 의미 없어요!

오답노트는 “왜 틀렸는지”가 핵심이에요.

  • ❌ “문제 + 정답”만 적기 → 금방 잊어버려요
  • ✅ “내가 왜 이걸 틀렸는지” 적기(예: 단위 변환 실수, 공식 착각, 계산 실수 등)

📌 팁:

오답 옆에 간단하게 요약 코멘트를 달아보세요

예) “V=IR이 아니라 I=V/R인데 거꾸로 씀 😅”

 

3️⃣ CBT 환경 적응하기

전기기사 필기시험은 CBT(컴퓨터 기반 시험) 방식이에요!

종이 시험이 아니라서 생소할 수 있어요.

👉 시간 확인, 계산기 사용, 눈 피로도가 다르죠.

꼭 해보세요:

  • 실전처럼 컴퓨터 화면으로 기출 풀기
  • comcbt.com 활용!
  • 모니터 밝기·글씨 크기 설정도 연습!

📌 팁:

실제 시험 전날, 집에서 CBT 방식으로 1회분 풀어보면

“시험장 감각”을 미리 익힐 수 있어요!

 

4️⃣ 시간 관리 전략

한 문제에 너무 오래 붙잡히면 전체 시험을 망칠 수 있어요 😢

⏰ 필기시험은 시간 싸움!

👉 계산이 복잡한 문제는 과감히 넘기세요.

  • 풀 수 있는 문제 먼저 해결
  • “계산이 너무 길다” 싶으면, 공식만 보고 답 유추
  • 시간이 남으면 그때 돌아가서 다시 도전!

📌 팁:

문제지에 “체크” 표시해두면

나중에 시간 남았을 때 바로 찾아볼 수 있어요.

 

5️⃣ 공식 암기 & 적용법

시험장에 들어가면 공식이 헷갈리기 시작해요

그래서 꿀팁 하나!

시험 시작하면 바로 시험지 여백에

외워야 하는 공식들을 쭉 써두세요.

예:

  • P = V × I × cosθ
  • Z = √(R² + (XL - XC)²)
  • Y-Δ 변환 공식 등

📌 팁:

여러 과목 공식이 섞이면 더 헷갈리니,

자주 헷갈리는 공식만 “암기노트”에 따로 정리해두면 좋아요.

 

🎁 마무리 체크리스트

전략핵심 포인트
기출 회독7~10개년치, 3회 이상 반복
오답노트“왜 틀렸는지”를 기록하자
CBT 연습실제 시험처럼 컴퓨터로 연습
시간 전략어려운 문제는 과감히 넘기자
공식 암기시험 시작 전, 먼저 써두자!

 

🌟마지막으로, 전기기사 수험생분들께!🌟

전기기사 자격증을 따는 과정은 쉽지 않겠지만, 올바른 방법과 긍정적인 마음가짐으로 꾸준히 노력하면 충분히 해낼 수 있어요.

  • 합격에 집중하세요: 모든 것을 완벽하게 이해하려 하기보다는, 시험 합격이라는 목표에 맞춰 효율적으로 공부하세요.
  • 계산기와 친해지세요: 계산기는 여러분의 가장 강력한 무기예요. 다양한 계산을 직접 연습해서 능숙하게 다루세요.
  • 오답노트를 적극 활용하세요: 오답노트는 여러분의 약점을 보완하고 실력을 향상시키는 최고의 도구예요.
  • 꾸준함이 중요해요: 매일 조금씩이라도 꾸준히 공부하고, 지치지 않도록 적절한 휴식도 꼭 취하세요.
  • 긍정적인 마음을 유지하세요: 어려운 순간에도 자신감을 잃지 않고, '나는 할 수 있다!'는 긍정적인 믿음을 가지는 것이 중요해요.

이 뉴스레터가 여러분의 전기기사 학습 여정에 작은 도움이 되기를 바랍니다. 여러분의 열정과 노력이 반드시 합격이라는 값진 결실로 이어지기를 진심으로 응원합니다! 파이팅!


다음 뉴스레터 예고

3화: 전기자기학, 공식 암기만 잘하면 절반은 끝난다!

  • 필수 공식 정리표(PDF 포함)
  • 공식 암기 전략
  • 기출에서 자주 나오는 유형

곧 또 봐요!

다가올 뉴스레터가 궁금하신가요?

지금 구독해서 새로운 레터를 받아보세요

이번 뉴스레터 어떠셨나요?

볼티 님에게 ☕️ 커피와 ✉️ 쪽지를 보내보세요!

댓글

의견을 남겨주세요

확인
의견이 있으신가요? 제일 먼저 댓글을 달아보세요 !
© 2025 볼티

전기기사 합격! 매일 핵심 개념 3가지를 쏙쏙 복습하세요! ⚡️

메일리 로고

도움말 자주 묻는 질문 오류 및 기능 관련 제보

서비스 이용 문의admin@team.maily.so

메일리 사업자 정보

메일리 (대표자: 이한결) | 사업자번호: 717-47-00705 | 서울특별시 성동구 왕십리로10길 6, 11층 1109호

이용약관 | 개인정보처리방침 | 정기결제 이용약관 | 라이선스