
🪖 이번 주 금요일까지 굴복해! — 거칠어지는 펜타곤과 Anthropic 사이의 갈등

2025년 7월, Anthropic은 OpenAI, Google, xAI와 함께 미국 국방부와 각각 최대 2억 달러 규모의 AI 계약을 체결했습니다. Anthropic은 Palantir와의 파트너십을 통해 다양한 정보 관련 업무에 Claude를 제공해왔어요 [NBC News]. 그런데 올해 초, Anthropic과 미국 국방부 사이의 관계에 균열이 생기기 시작했어요. Claude가 Palantir를 통해 니콜라스 마두로 전 대통령 체포 작전에 활용된 사실이 보도되면서 [The Hill], Anthropic이 자사 기술의 군사적 사용 방식에 의문을 제기하기 시작했습니다.
Anthropic CEO Dario Amodei는 완전 자율 군사 표적 작전(fully autonomous military targeting)과 미국 시민에 대한 국내 대량 감시(domestic surveillance), 이 두 가지는 어떤 경우에도 허용할 수 없는 선이라고 명확히 밝히고 있어요 [PBS News]. 반면 국방부 측은 "AI 기업이 의회가 통과시킨 법률 위에 새로운 정책을 일방적으로 이행하도록 두지 않겠다"며, 군이 합법적 군사 활동에 AI를 자유롭게 사용할 수 있어야 한다는 입장을 고수하고 있습니다 [Breaking Defense]. 국방부는 이를 "all lawful purposes(모든 합법적 목적)" 원칙으로 표현하며, OpenAI·Google·xAI는 이미 이 원칙에 동의했다고 밝혔습니다.
상황은 빠르게 악화되고 있어요. 국방장관 Pete Hegseth는 Anthropic을 '공급망 리스크(supply chain risk)'로 지정하는 방안을 검토 중이라고 해요. 이는 통상 외국 적대 세력에게 적용하는 조치입니다. 한 고위 국방부 관계자는 "그들이 우리를 이런 식으로 몰아붙이면 대가를 치르게 만들 것"이라고 경고했습니다 [Axios]. 2월 24일, Hegseth는 Anthropic과 회의를 갖고 금요일(2월 28일)까지 무제한 군사 사용에 동의하지 않으면 계약을 취소하겠다는 데드라인을 통보했으나, Amodei는 회의 분위기는 우호적이었음에도 두 가지 조항에서 물러서지 않았습니다 [Military.com]. 경쟁사들이 모두 국방부의 요구에 응한 상황에서 Anthropic만이 홀로 버티고 있는 형국이에요.
이 갈등은 AI 산업 전체의 방향을 결정짓는 분기점이 될 수 있습니다. 만약 Anthropic이 윤리적 제한을 유지하면서 협상에 성공한다면 다른 AI 기업들도 유사한 보호 장치를 요구할 수 있지만, 국방부가 더 유연한 경쟁사에게 계약을 넘기면 '국가 안보 앞에서 윤리는 협상 대상'이라는 신호를 업계에 보내게 될 거예요. [TechBuzz AI]. Anthropic은 AI 안전을 핵심 정체성으로 구축해온 기업으로, 이번 사태는 그 원칙이 실제 권력과 예산 앞에서 얼마나 지속될 수 있는지를 시험하는 중요한 사례가 될 것으로 예상돼요.
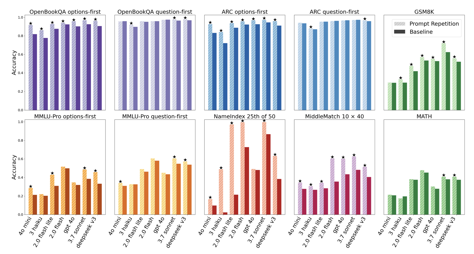
⌨️ Ctrl+C, Ctrl+V로 LLM 정확도를 늘리는 방법 - 프롬프트 반복 기법

LLM으로 더 나은 답변을 얻기 위해 프롬프트를 수정하고 지우는 경험을 해보신 적이 있나요? 보통 이런 프롬프트 엔지니어링은 많은 수정본을 거쳐야 하죠. Google Research팀이 최근 매우 단순하면서도 효과적인 LLM 성능 향상 기법을 발표했어요. 바로 같은 프롬프트를 그대로 두 번 반복해서 입력하는 프롬프트 기법이에요.
LLM은 기본적으로 글자를 왼쪽에서 오른쪽으로 순서대로 읽도록 설계되어 있어요. 그래서 앞에 나온 내용은 뒤에 나올 내용을 미리 알 수 없습니다. 이 때문에 같은 질문이라도 어떤 내용을 먼저 적느냐에 따라 AI의 답변 품질이 달라질 수 있어요. 예를 들어 "질문 → 보기" 순서와 "보기 → 질문" 순서는 내용은 똑같지만, AI 입장에서는 완전히 다른 입력으로 처리됩니다. 보기가 먼저 나오면 AI는 질문을 아직 보지 못한 상태에서 보기를 읽게 되니, 둘 사이의 연결이 자연스럽게 약해질 수밖에 없죠.

프롬프트를 두 번 반복하면 이 문제를 간단하게 줄일 수 있습니다. 같은 내용을 두 번 읽으면서 AI가 앞뒤 맥락을 더 단단하게 연결할 수 있거든요. 중요한 건 이 과정이 AI가 답변을 생성하기 전 단계에서 일어난다는 점입니다. 그래서 답변의 길이나 형식에는 전혀 영향을 주지 않아요. 쉽게 말해, 답변을 더 잘 쓰기 위한 준비 과정만 더 탄탄해지는 셈입니다.

연구팀은 Gemini 2.0 Flash, GPT-4o, Claude 3.7 Sonnet, DeepSeek V3 등 주요 LLM 7종을 대상으로 ARC, MMLU-Pro, GSM8K, MATH 등 7개 벤치마크에서 실험을 진행했어요. 추론(reasoning) 모드를 끈 상태에서 프롬프트 반복은 총 70개 벤치마크-모델 조합 중 47개에서 성능 향상을 기록했고, 성능 저하는 단 0건을 기록했습니다. 특히 커스텀 태스크인 NameIndex에서는 Gemini 2.0 Flash-Lite의 정확도가 21.33%에서 무려 97.33%까지 급등했습니다. 더 주목할 점은, 이 기법이 생성 토큰 수나 응답 지연 시간을 거의 늘리지 않는다는 점이에요.
빠르고 비용 효율적으로 LLM 답변 정확도를 늘리고 싶으면, 프롬프트를 두 번 반복해서 테스트해 보는 걸 추천해 드려요. 단, 연구 논문에서 언급했듯이, Thinking이나 Reasoning (추론) 모드를 활성화한 상태에서는 정확도가 크게 향상하지 않을 수 있어요.
논문 원본은 아래 링크에서 확인하실 수 있습니다!
📲 Claude Code Remote Control: 누워서 폰으로 클로드 코드 쓰기

Claude가 최근 업데이트로 OpenClaw의 직접적인 경쟁자가 되었어요. 2월 25일, Anthropic은 Claude Code에 Remote Control이라는 새로운 기능을 리서치 프리뷰로 공개했습니다. 이제 데스크톱 터미널에서 돌아가고 있는 Claude Code 세션을 스마트폰, 태블릿, 또는 아무 웹 브라우저에서 이어서 사용할 수 있게 되었어요. 지금까지 OpenClaw가 개인 디바이스를 WhatsApp이나 Telegram 같은 메신저로 원격 제어하면서 GitHub 스타 16만 개 이상을 모으며 "진짜 개인 AI 에이전트"의 대명사로 자리잡았는데요, Anthropic이 이제 자체 생태계 안에서 비슷한 경험을 제공하겠다고 나선 셈이에요.
Remote Control의 사용법은 아래 단계를 따라하면 돼요!
- 사전 준비: PC나 Mac에서 Claude Code를 버전 2.1.52 이상으로 업데이트하고, Pro 또는 Max 플랜 구독 상태에서 /login 으로 인증을 완료합니다.
- 세션 시작: 터미널에서 claude remote-control 명령어를 입력하여 원격으로 접속할 수 있도록 설정합니다
- 디바이스 연결: 터미널에 표시되는 QR 코드를 스마트폰의 Claude 앱으로 스캔하거나, 세션 URL을 브라우저에서 열거나, claude.ai/code 세션 목록에서 직접 접속합니다.
- 세션 이름 지정(선택): /rename 커맨드로 세션에 설명적인 이름을 붙여두면 여러 디바이스에서 찾기 쉽습니다.
- 자동 활성화 설정(선택): /config에서 "Enable Remote Control for all sessions"를 켜면 매번 명령어를 입력할 필요 없이 모든 세션에서 자동으로 활성화됩니다.
실제로 많은 사용자들이 기존 Claude Code 환경에서 쓰던 MCP 서버와 Skills를 별도 설정 없이 그대로 활용할 수 있다는 점에서 높은 만족감을 보이고 있습니다. 초기 세팅이 간편하다는 것도 큰 장점으로 꼽히고 있어요. 특히 OpenClaw의 경우 Tailscale 네트워크 구성이나 API 키 관리, 디바이스 페어링 등 보안 설정을 사용자가 직접 챙겨야 하는 반면, Remote Control은 Anthropic이 제공하는 아웃바운드 전용 연결 구조와 임시 액세스 토큰 방식 덕분에 별도의 보안 설정 부담 없이 안전하게 사용할 수 있다는 평가입니다. 이런 이유로 OpenClaw 대신 Remote Control을 주력으로 채택하는 개발자들이 점점 늘어나는 추세입니다. 자세한 사용법은 Claude Code 공식 문서에서 확인할 수 있습니다.

의견을 남겨주세요