마티나의 프로필 이미지

마티나

mattina@maily.so

성공하는사람들의습관

뉴스레터

50

구독자

3

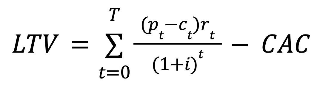
코호트 분석, 마케팅 용어 설명해드릴게요.

"코호트" 라틴어에서 유래된 말로 고대 로마 군대의 한 부대를 가리키는 용어. 코호트 분석이란, 비슷한 시기에 비슷한 행동을 한 사람들을 그룹으로 묶어서 그들이 나중에 어떻게 행동

2024.09.06·조회 96

양이 없으면 성공도 없다.

<알렉스 홀모지 인터뷰> 알렉스 홀모지는 양이 곧 성공을 이끈다고 이야기 합니다. 그는 사람들이 성공을 위해 투입해야 하는 양을 간과하고 있다고 강조합니다. 많은 이들이 새로운 시

2024.09.05·조회 101

오늘만큼은 자신을 위해 살아보세요.

매일 아침, 눈을 뜰 때 여러분이 가장 먼저 들어야 할 목소리는 단 하나, 바로 자신이어야 합니다. 우리는 종종 타인의 기대와 시선 속에서

2024.09.04·조회 89

1000억 부자가 말하는 도전의 두려움

알렉스 홀모지는 이렇게 말하는 수많은 사람들의 도전 앞 변명을 꼬집기도 했습니다.

2024.09.03·조회 151

목표를 순수익으로 잡아야 하는 이유

한 달에 1,000만원을 벌기 위해 지금 판매하시는 상품을 몇 개 팔아야 하나요? 손님을 몇 테이블 받아야 하나요? 몇 명의 학생이 있어야 하나요? 몇 건의 의뢰를 받아야 하나요?

2024.09.02·조회 117

우리나라에서 떡볶이로 가장 돈 많이 버는 사람의 이야기

떡모 회장이자 두끼떡볶이 창업자인 김관훈 대표의 이야기입니다. 강연 내용을 바탕으로 적었습니다. 1. 떡볶이의 모든 것 - 떡모 카페를 만듦.

2024.08.30·조회 258

연매출 2700억 사업가는 이렇게 시작했습니다

지난 8월 OBL 모임에서 두끼 떡볶이 김관훈 대표님을 모셔서 강연을 들었는데요. 개인적으로

2024.08.29·조회 104

매출을 높이기 위한 체크리스트 2탄

1탄, AARRR 프레임워크에서 가장 중요하다고 말씀드린 Retention (유지)에 관한 내용을 말씀드릴 예정입니다.

2024.08.28·조회 124

매출을 높이기 위한 체크리스트 1탄

성과를 내는 마케터들이 사랑하는 마케팅 프레임워크가 하나 있습니다. 한번쯤 들어보셨을 AARRR 그로쓰 퍼널인데요.

2024.08.27·조회 135

잭 웰치의 마지막 조언

GE를 20년간 2000% 이상 성공시킨 잭 웰치에겐 명암이 존재하는데요. GE를 떠나면서 마지막 회의석상에서 직원에게 여러 당부를 합니다.

2024.08.26·조회 120
© 2026 마티나

성공하는사람들의습관

메일리 로고

도움말 오류 및 기능 관련 제보

서비스 이용 문의admin@team.maily.so 채팅으로 문의하기

메일리 사업자 정보

메일리 (대표자: 이한결) | 사업자번호: 717-47-00705 | 서울특별시 송파구 위례광장로 199, 5층 501-8호

이용약관 | 개인정보처리방침 | 정기결제 이용약관 | 라이선스